Close
Samospráva
Úradná tabuľa
Úradná tabuľa - archív
Naša obec
Obecný úrad
Úradné hodiny
Starosta obce
Obecné zastupiteľstvo
Poslanci, komisie, účasť poslancov
Zápisnice OZ
Uznesenia OZ
Hlavný kontrolór
Dokumenty
PHSR (Plán rozvoja obce)
Územný plán obce
Ostatné dokumenty
WEBGIS
Jednoduché pozemkové úpravy Vyšný Medzev - Baňa Lucia (JPÚ)
Sčítanie obyvateľov 2021
Symboly obce
Voľby
Život v obci
Aktuality
História
Súčasnosť
Organizácie a spolky
Obecný podnik lesov a služieb
Enduro moto klub
Miestna organizácia KNS
Dobrovoľný hasičský zbor
Ochotnícke divadlo
Kluby dôchodcov
Cirkev
Poľovníctvo
Fotogaléria
Videogaléria
Kultúra
Zaujímavosti
Šport
Kronika
O kronike
Kronikári
Kronikárske zápisy
Iné historické dokumenty
Podujatia
Odvoz odpadu
Začíname s elektronickou evidenciou odpadu
☆ Mobilná aplikácia obce
Zverejňovanie
Zmluvy
Zmluvy - Voda Lucia Baňa
Nájomné zmluvy - Pohrebisko
Pohrebisko HSNP
Pohrebisko Lucia Baňa
Faktúry
Objednávky
Archív
Verejné obstarávanie
Ochrana osobných údajov
Súbory cookies
Kontakty
+421 55 489 82 71
|
info@vysnymedzev.sk
×
Hľadať
×
Čítaj text
Čítaj text
Hľadaný výraz...
Oficiálne stránky
Obec Vyšný Medzev
Navbar
Samospráva
Úradná tabuľa
Úradná tabuľa - archív
Naša obec
Obecný úrad
Úradné hodiny
Starosta obce
Obecné zastupiteľstvo
Poslanci, komisie, účasť poslancov
Zápisnice OZ
Uznesenia OZ
Hlavný kontrolór
Dokumenty
PHSR (Plán rozvoja obce)
Územný plán obce
Ostatné dokumenty
WEBGIS
Jednoduché pozemkové úpravy Vyšný Medzev - Baňa Lucia (JPÚ)
Sčítanie obyvateľov 2021
Symboly obce
Voľby
Život v obci
Aktuality
História
Súčasnosť
Organizácie a spolky
Obecný podnik lesov a služieb
Enduro moto klub
Miestna organizácia KNS
Dobrovoľný hasičský zbor
Ochotnícke divadlo
Kluby dôchodcov
Cirkev
Poľovníctvo
Fotogaléria
Videogaléria
Kultúra
Zaujímavosti
Šport
Kronika
O kronike
Kronikári
Kronikárske zápisy
Iné historické dokumenty
Podujatia
Odvoz odpadu
Začíname s elektronickou evidenciou odpadu
☆ Mobilná aplikácia obce
Zverejňovanie
Zmluvy
Zmluvy - Voda Lucia Baňa
Nájomné zmluvy - Pohrebisko
Pohrebisko HSNP
Pohrebisko Lucia Baňa
Faktúry
Objednávky
Archív
Verejné obstarávanie
Ochrana osobných údajov
Súbory cookies
Kontakty
Oficiálne stránky
Obec Vyšný Medzev
Samospráva
Úradná tabuľa
Samospráva
Život v obci
Zverejňovanie
Kontakty
Úradná tabuľa - archív
Samospráva
Život v obci
Zverejňovanie
Kontakty
Naša obec
Samospráva
Život v obci
Zverejňovanie
Kontakty
Obecný úrad
Samospráva
Život v obci
Zverejňovanie
Kontakty
Úradné hodiny
Samospráva
Život v obci
Zverejňovanie
Kontakty
Starosta obce
Samospráva
Život v obci
Zverejňovanie
Kontakty
Obecné zastupiteľstvo
Poslanci, komisie, účasť poslancov
Zápisnice OZ
Uznesenia OZ
Hlavný kontrolór
Samospráva
Život v obci
Zverejňovanie
Kontakty
Dokumenty
PHSR (Plán rozvoja obce)
Územný plán obce
Ostatné dokumenty
WEBGIS
Samospráva
Život v obci
Zverejňovanie
Kontakty
Jednoduché pozemkové úpravy Vyšný Medzev - Baňa Lucia (JPÚ)
Samospráva
Život v obci
Zverejňovanie
Kontakty
Sčítanie obyvateľov 2021
Samospráva
Život v obci
Zverejňovanie
Kontakty
Symboly obce
Samospráva
Život v obci
Zverejňovanie
Kontakty
Voľby
Samospráva
Život v obci
Zverejňovanie
Kontakty
Život v obci
Aktuality
Samospráva
Život v obci
Zverejňovanie
Kontakty
História
Samospráva
Život v obci
Zverejňovanie
Kontakty
Súčasnosť
Samospráva
Život v obci
Zverejňovanie
Kontakty
Organizácie a spolky
Obecný podnik lesov a služieb
Enduro moto klub
Miestna organizácia KNS
Dobrovoľný hasičský zbor
Ochotnícke divadlo
Kluby dôchodcov
Cirkev
Poľovníctvo
Fotogaléria
Samospráva
Život v obci
Zverejňovanie
Kontakty
Videogaléria
Samospráva
Život v obci
Zverejňovanie
Kontakty
Kultúra
Samospráva
Život v obci
Zverejňovanie
Kontakty
Zaujímavosti
Samospráva
Život v obci
Zverejňovanie
Kontakty
Šport
Samospráva
Život v obci
Zverejňovanie
Kontakty
Kronika
O kronike
Kronikári
Kronikárske zápisy
Iné historické dokumenty
Podujatia
Samospráva
Život v obci
Zverejňovanie
Kontakty
Odvoz odpadu
Samospráva
Život v obci
Zverejňovanie
Kontakty
Začíname s elektronickou evidenciou odpadu
Samospráva
Život v obci
Zverejňovanie
Kontakty
☆ Mobilná aplikácia obce
Samospráva
Život v obci
Zverejňovanie
Kontakty
Zverejňovanie
Zmluvy
Samospráva
Život v obci
Zverejňovanie
Kontakty
Zmluvy - Voda Lucia Baňa
Samospráva
Život v obci
Zverejňovanie
Kontakty
Nájomné zmluvy - Pohrebisko
Pohrebisko HSNP
Pohrebisko Lucia Baňa
Faktúry
Samospráva
Život v obci
Zverejňovanie
Kontakty
Objednávky
Samospráva
Život v obci
Zverejňovanie
Kontakty
Archív
Samospráva
Život v obci
Zverejňovanie
Kontakty
Verejné obstarávanie
Samospráva
Život v obci
Zverejňovanie
Kontakty
Ochrana osobných údajov
Samospráva
Život v obci
Zverejňovanie
Kontakty
Súbory cookies
Samospráva
Život v obci
Zverejňovanie
Kontakty
Kontakty
PROJEKT EU
Oznam - kultúrny dom
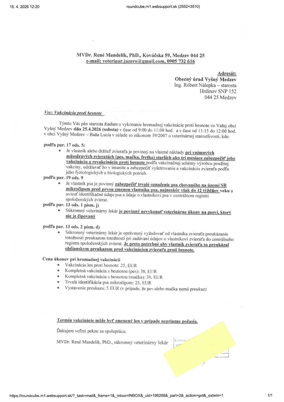
OZNAM - Vakcinácia proti besnote
OZNAM - Vakcinácia proti besnote
16.04.2026
Zoznam aktualít:
Aktuality
05. MÁJ 2026
REGIONÁLNY DEŇ RUDOHORIE 2026
Čítať ďalej
Aktuality
30. APR 2026
Pozvánka na zasadnutie OZ dňa 06.05.2026
Čítať ďalej
Aktuality
22. APR 2026
Župné dni 2026
Čítať ďalej
Aktuality
16. APR 2026
OZNAM - Vakcinácia proti besnote
Čítať ďalej
Aktuality
13. APR 2026
DEŇ ZEME 2026
Čítať ďalej
Aktuality
19. MAR 2026
KINO / Hvezdáreň Medzev
Čítať ďalej
Aktuality
10. MAR 2026
POŽIARNA PREVENCIA - OZNAM
Čítať ďalej
Aktuality
13. FEB 2026
Pozvánka na zasadnutie OZ dňa 18.02.2026
Čítať ďalej
Aktuality
12. FEB 2026
Detská fašiangová veselica
Čítať ďalej
Aktuality
13. JAN 2026
OZNÁMENIE o výdaji naturálií
Čítať ďalej
Aktuality
10. DEC 2025
Pozvánka na zasadnutie OZ dňa 16.12.2025
Čítať ďalej
Aktuality
08. DEC 2025
Pozvánka na zasadnutie OZ dňa 11.12.2025
Čítať ďalej
1
2
3
>
ePrivacy and GPDR Cookie Consent by
TermsFeed Generator